Arnavutköy'de satılık arsa satılık

₺15,658,536

Tanım

Yeni İstanbul Kanalı'na bitişik satılık arsa

Bölge: Arnavutköy

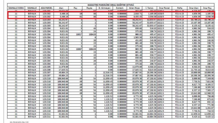
Alan (belediye düşülmeden önce): 6455 metrekare

Bölgenin özellikleri:
❖ Yeni İstanbul Kanal organizasyonuna girmektedir.
❖ Türk vatandaşlığı almaya uygundur.
❖ Yeni İstanbul Kanalı'na yakın.
❖ İstanbul Uluslararası Havalimanı'na yakın.
❖ İkinci köprünün ayırt edici bir görünümü.
❖ Lojistik alanın yakınında.
❖ Ticaret merkezine yakın.
❖ Doğrudan cadde üzerinde yer almaktadır.
❖ Yenişehir 3. etap arazileri içerisinde.

Arazi organizasyonu (yaş izni): Konut 4 kat

Yaş oranı: %50

Belediye tarafından kesilen yüzde: Arsa alanının %45'i

Kalan nihai alan: 3550 metrekare

Tapu türü: HISSE / Tarla

Details
  • Emlak Tipi: kara
  • mülkiyet durumu: satılık
  • Emlak fiyatı: ₺15,658,536
  • yatak odaları:
  • Banyolar:
  • garajlar: 0
  • Kuruluş yılı:
  • Zemin: Zemin
Kolaylıklar
Kat planı
Yakındaki Tesisler
Emlak Analizleri
Konum